欢迎来到加密多
服务热线:010-88851786
圆形隧道施工对不同深度地层沉降影响的模型试验研究

为了缓解交通拥堵问题,越来越多的城市开始修建地铁,而地铁施工引起的地层沉降一直困扰着工程界,诸多学者通过理论解析、模型试验和数值模拟等手段进行了相关研究,取得了一定的成果,其中具有代表性的有,项彦勇[1]详细介绍了预测地层变形的模型试验方法、模型试验的相似材料及模型试验的量测装置;姜忻良等[2]通过工程案例研究了不同深度地层沉降槽宽度系数,并给出了计算地层沉降公式系数的范围;刘建航等[3]通过工程案例,提出了负地层损失的概念,并预测了隧道纵向沉降曲线的计算公式; 阳军生[4]考虑了降水、挤压盾构、冻结及压气等隧道施工因素,通过理论推导,得出了地层沉降位移的计算公式; 施成华等[5 - 6]通过单元体随机介质理论模型,推导了圆形隧道开挖引起的地层中任意一点的变形位移公式; Yoshiji Matsumoto 等[7]通过应力函数法求解,得到了地层位移的计算公式; Loganathan 等[8]根据圆形隧道施工的特点,发现隧道施工引起的地层沉降是不均匀分布的,其沉降主要分布在隧道横截面水平轴线上方与垂直方向夹角为45°的范围内; 方恩权等[9]通过圆形隧道施工引起地表横、纵向的沉降规律,得到了一个利用插值法和最小二乘法的预测模型,并将该模型应用到工程中; 张成平等[10]通过室内试验及工程案例分析了富水软弱地层工程性质及隧道开挖后的沉降特征,并提出了控制地表沉降的若干建议。

在圆形隧道施工对地层沉降影响方面,尽管研究成果丰富[11 - 13],但仍有诸多不足之处,尤其是隧道开挖引起地表以下沿不同深度地层沉降变形方面,还需要进一步深入研究; 因此,本文建立平面应变模型试验系统,研究不同深度地层沉降槽曲线分布形态,得出不同深度地层竖向沉降位移的计算公式。

1 地表沉降与地中沉降的关系

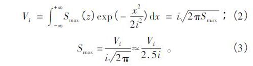
1969 年,Peck[14]通过诸多工程案例,提出了预测圆形隧道施工导致地表沉降的位移计算公式。目前,它已经成为预测地层沉降应用最为广泛的一种计算方法。其公式为

 

式中: S( x) 为地表沉降位移( 与隧道中心水平距离为x) ; Smax为地表最大沉降位移; i 为地表沉降槽宽度系数。

在无水情况下,隧道施工引起的地层损失体积与地表沉降槽体积相等,即

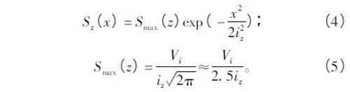
由于Smax和iz取值均随着地层深度z 的增加而改变; 因此,地表以下不同深度地层的Smax和iz不易确定,如果假设地表以下不同深度地层沉降槽曲线仍符合正态分布[2],由式( 1) 和式( 3) 可得

对于地表以下的地层沉降参数Smax( z) 和iz,Smax( z) 在模型试验中比较容易获得,而iz的测量比较繁琐且不易获取。由式( 5) 可知,Smax( z) 和iz成反比,若能通过模型试验得出地层沉降位移Smax( z) 随着不同地层深度的变化规律,也可以得到地表以下沉降槽宽度系数iz沿地表以下不同地层深度的变化规律。

2 模型试验

2. 1 模型试验设计

为了预测圆形隧道施工引起不同深度地层沉降位移关系,进行圆形隧道开挖引起不同深度地层沉降的平面应变模型试验,如图1 所示。模型试验主要包含以下3 方面内容: 1) 试验台架; 2) 地层材料模型、隧道开挖边界模型及隧道支护模型; 3) 量测装置,包含隧道支护内力量测及不同深度地层沉降位移量测。

1 圆形隧道开挖引起地层沉降模型试验( 单位: mm)

由图1 可知,不同深度地层沉降监测点的编号1—8 位于隧道中线正上方,相邻地层沉降监测点之间的竖直距离等于隧道直径,测线A、测线B 及测线C的检测点为隧道上方不同地层的3 条水平测线。

2. 1. 1 试验台架

底板、基座、顶板及四侧钢板组成了模型试验台架,其内部尺寸为1 000 mm × 1 620 mm × 300 mm( 宽× 高× 厚) 。为了便于对不同深度地层沉降测点进行量测,首先将前侧钢板替换为设置孔洞( 隧道直径为200 mm) 的有机玻璃板; 然后回填地层材料,并层层压实,当地层材料填至隧道位置处时,安装隧道开挖边界模型及隧道支护模型,再逐层压实,直至试验台架上沿; 待地层材料填实完成后,再安装试验台的顶板。

2. 1. 2 试验模型

1) 地层材料模型。由石英砂、重晶石及凡士林按照一定比例配制成符合黏土地层的材料模型,该材料模型的力学参数与普通黏土接近,可重复使用,力学性能稳定,其物理力学参数如表1 所示。

1 模型材料的物理力学参数

 

2) 隧道开挖边界模型及隧道支护模型。不锈钢管作为隧道的开挖边界,用于平衡地层土压力,钢管壁厚为2 mm,外半径为R1。隧道支护模型由水和石膏按一定比例( 1∶ 1. 05) 配制而成,其物理力学参数如表1 所示[15],外半径为R2,壁厚为20 mm。在隧道支护模型的内侧和外侧分别对称布置8 对应变片,隧道支护模型安放在隧道开挖边界模型内部,2个模型在底部相切,其位置如图1 所示。

2. 1. 3 量测装置

模型试验的量测装置由应变量测装置及地层位移量测装置组成。

1) 应变量测装置由应变片及应变仪组成。

2) 地层沉降位移量测装置由摄像机、测量软件和电脑组成,摄像机可全程追踪目标点。位移量测使用散斑识别技术,量测时不需要预先设定目标点,可精确量测摄像机图像上任意点的坐标,摄像机量测的分辨率为0. 1 μm。

2. 2 试验方案设计

模型试验分为2 组,每组试验的隧道单位长度地层损失率如表2 所示。

2 模型试验地层损失参数


 

3 模型试验结果与分析

3. 1 地层损失率

取出隧道开挖边界模型,模拟隧道的开挖,能够模拟的( 单位隧道长度) 地层损失率约为( 有文献统计,隧道开挖的地层损失率大部分在0. 13% ~ 4. 3%[16],国内盾构隧道施工引起的地层损失率分布在0. 2% ~3. 01%,主要与施工水平、土质条件及隧道轴线埋深有关[17])

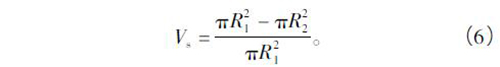
式中: R1为开挖边界外半径; R2为支护模型的外半径。

通过式( 6) 即可得出模型试验1 及模型试验2 的地层损失率分别为1. 98%和3. 32%。

3. 2 地表以下地层的沉降

当试验过程中模型试验1 和模型试验2 的地层损失率分别为1. 98% 和3. 32% 时,其测线A、测线B 和测线C 的沉降槽曲线如图2 所示。

2 不同地层的沉降槽曲线

显然,测线A、测线B 及测线C 的沉降槽曲线符合正态分布。当地层损失率一定时,不同深度地层的沉降位移随着地层深度的增加而增大; 对于相同地层深度,地层沉降位移隧道地层损失率的增加而增大。

3. 3 地表沉降与地层沉降的关系

由于试验中iz与i0的函数关系较难确定,根据式( 5) 可知,S max( z) 与iz成反比,因此,只要确定Smax( z) 与Smax( 0) 的函数关系,就可以确定iz与i0的函数关系。当模型试验1 和模型试验2 的地层损失率分别为1. 98% 和3. 32% 时,隧道中线处测点1—8 的沉降位移数据如表3 所示。

3 模型试验地层沉降测量数据

对模型试验1 及模型试验2 数据进行拟合,可得到关于Smax( z) /Smax( 0) 与( 1 - z /z0) 函数关系曲线,其函数曲线如图3 和图4 所示。

3 试验1 的回归分析曲线

4 试验2 回归分析曲线

对试验1 及试验2 数据进行回归分析,可分别得到回归曲线方程

取幂指数平均值,可得

根据前面推导可知,Smax( z) 与iz与成反比,因此,可以得到

通过理论解析及模型试验,得到了地层沉降槽宽度系数iz沿地层深度的变化规律,求解地层沉降槽宽度系数iz后,根据式( 4) 便可计算不同深度地层的竖向沉降位移。

4 结论与讨论

通过理论解析及模型试验,推导了地表及以下地层的最大沉降位移与沉降槽宽度系数成反比,地表及以下地层沉降槽曲线符合正态分布; 通过对模型试验数据回归分析,得到了不同深度地层深度竖向沉降位移的计算公式。

为了能够全面预测圆形隧道施工引起不同深度地层沉降特征,建议通过模型试验分别研究在不同地层及混合地层中圆形隧道开挖引起不同深度地层沉降特征,预测圆形隧道施工引起地层沉降变化特征对指导施工具有重要的意义。

这里的模型试验研究的主要目的是,通过定量的试验和量测,观察和分析某一地层圆形隧道施工对不同深度地层沉降影响特征; 因此,虽然采用了基于单独相似分析的地层模型,并没有要求整个模型体系与某种实际原型体系的相似性,属于具有某些个体一阶相似性的“畸变模型”。